Kdo z nás někdy netoužil po návratu časem? Jak krásné by bylo vrátit se o pár let zpět a udělat klíčové životní rozhodnutí, kterého hořce litujeme, jinak, nebo dokonce vrátit se o stovky či tisíce let a zabránit významné katastrofě. Jen si to představte, mohli byste zamezit zničení Alexandrijské knihovny, napadení Pearl Harbor japonskou armádou či dokonce dopadu meteoritu Chicxulub do Mexického zálivu a na Yucatanský poloostrov. Někteří méně morální by zase mohli preferovat například sázení na sportovní zápasy, společenské události nebo loterie u nichž by věděli výsledky. Mnozí by naopak možná zase chtěli podívat se na technologický posun lidstva ve vzdálené budoucnosti. Možná vás to překvapí, ale cestování časem fyzika v principu nezakazuje. Cestování do budoucnosti je dokonce v principu, nikoliv však bohužel v praxi, poměrně jednoduché. Co nám k cestování časem říká fyzika? A jak to souvisí s kosmonautikou? Odpovědi společně nalezneme v dnešním příspěvku.
Čas dle Newtona a Einsteina

Zdroj: https://cdn.mos.cms.futurecdn.net/
Mohli bychom začít náš článek filosofií či kalendáři, oba aspekty jsou z hlediska vnímání času vcelku podstatné, to by se ale stal článek ještě více neúměrně dlouhým, a tak nás bude zajímat jen fyzika. Pochopitelně i v případě času měl zásluhy Sir Isaac Newton. Ten se domníval, že je čas absolutní. To znamená, že by čas měl být stejný všude ve vesmíru a ať už bychom se nacházeli na jakémkoli místě a ať už bychom se pohybovali jakoukoli rychlostí, vždy bychom se v měření času shodli. Stejný názor zastávala i celá řada dalších fyziků, filosofů a jiných vědců v průběhu staletí. Tento pohled se udržel až do počátku 20. století, kdy přišel Albert Einstein a pohled na čas, podobně jako na mnoho jiných věcí ve fyzice, zcela překopal.
Einsteinova speciální a obecná relativita skutečně neříkají, že je všechno relativní, jak si někteří myslí. Naopak, i zde jsou některé věci absolutní, například rychlost světla je pro všechny pozorovatele stejná. Co je však relativní je právě čas. V tomto případě se tedy dva pozorovatelé nemusí shodnout na měření času, někdy dokonce může nastat i situace, že se neshodnou ani na tom, zda proběhla dříve událost A či B. Obecná relativita také definuje prostoročas, čtyřrozměrnou entitu, na níž se odehrávají fyzikální jevy. Jinými slovy, dnes už víme, že nemáme jen tři prostorové rozměry, ale čtyři rozměry, tři prostorové a jeden časový. Prostoročas je absolutní, nezávislý na pozorovateli, takže fyzikální zákony nezávisí na vztažné soustavě.
Planckův čas

Zdroj: https://upload.wikimedia.org/
V Einsteinově době přidal zajímavý příspěvek k času též jeho kolega, další významný německý fyzik a zakladatel kvantové teorie Max Planck. Ten poprvé uvažoval o tzv. přirozených jednotkách. Tento systém je založený na tom, že určíme, že gravitační konstanta, rychlost světla a (redukovaná) Planckova konstanta mají velikost 1. V tom případě dostáváme fyzikální jednotky obvykle buď nesmírně malé (čas, délka, plocha) anebo naopak velké (teplota, energie, hustota). Možná si říkáte, k čemu nám to je, když jsou hodnoty fyzikálních veličin v takovém případě zcela mimo lidskou zkušenost. Kouzlo je v tom, že fundamentální fyzikální teorie se v tomto případě zjednodušují a počítá se s nimi velmi dobře.
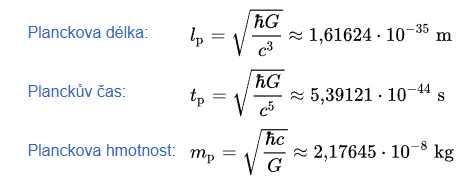
Planckův čas je jednou ze základních jednotek této sady. Je definován jako čas, za který foton ve vakuu urazí vzdálenost jedné Planckové délky – 10-35 metru a jeho hodnota je 5,391 x 10-44 sekundy. To je nepředstavitelně malé číslo. Tak malé, že ho nelze k ničemu přirovnat. V jedné sekundě se nachází více Planckových časů, než kolik uběhlo sekund od počátku existence vesmíru, což lze poměrně snadno spočítat. Nejkratší změřený časový interval má 2,47 x 10-19 sekundy, což je asi 1025 Planckova času. Z hlediska prostého měření časových úseků tedy nejsme ještě ani v polovině řádů.
Není dosud zcela jasné, jaký je fyzikální význam Planckova času. Je celkem jisté, že v době asi jeden Planckův čas po vzniku vesmíru přestávají platit nám známé fyzikální zákony, respektive začínají velmi selhávat. Abychom mohli říci o tomto období něco určitějšího, museli bychom mít pokročilejší fyzikální teorie, ideálně kvantovou gravitaci. Je také možné, že Planckův čas je vůbec nejmenší možný časový interval, jaký může ve vesmíru existovat. Nikoli snad proto, že bychom kratší jen nedokázali změřit, ale proto, že opravdu nemůže z principu existovat. Kvantová mechanika nám totiž říká, že se vše distribuuje v kvantech, základní fyzikální veličiny jsou kvantované, nelze je dělit donekonečna. Což by mělo platit i pro čas. Na škále Planckova času by se tedy mohl čas stát zrnitým.
Co víme o plynutí času?
Upřímně, není toho moc. Víme, že čas plyne. Víme také, že čas plyne dopředu, ale nikoliv dozadu. Pokud někdy někdo viděl čas plynout dozadu, stal se buď zázrak, nebo byl dotyčný na nějakých drogách. Ale jinak čas plyne jen dopředu. Dá se dokonce říci, že plyne rychlostí jedné sekundy za sekundu, což je ale výrok, který v podstatě nic neříká. Fyzika nám toho o plynutí času příliš neprozrazuje, je proto možné, že ve fyzikálních zákonech něco chybí. Nicméně, naše neschopnost určit rychlost toku času neznamená, že čas neplyne.

Zdroj: https://imageio.forbes.com/
Technicky by bylo možné stanovit rychlost plynutí času, kdybychom si zavedli a definovali nějaký nezávislý vnější absolutní čas, který by byl mimo náš vesmír a podle kterého by se řídil náš čas. Je tu ale problém. Jak víme, že tento vnější čas plyne a jak víme, jak rychle plyne? Ve skutečnosti jsme se tedy problému vůbec nevyhnuli. Můžeme zavést ještě nějaký vyšší vnější čas druhého řádu, ale s tím bude ten stejný problém a takto to můžeme opakovat donekonečna. Takže vlastně nevíme skoro nic.
Šipka času

Pokud byste se tedy například měli účastnit párty v soustavě Alfa Centauri za dva roky, je to mimo povolenou tmavěmodrou událost, neboť můžete cestovat maximálně rychlostí světla.
Zdroj: https://www.researchgate.net/
Řekli jsme si, že v běžných případech plyne čas dopředu, nikoliv dozadu. Na mikroskopické úrovni, tedy v rozměrech elementárních částic to ovšem neplatí. Pokud by vám někdo pustil interakci dvou částic pozpátku, na rozdíl od makroskopického děje byste zřejmě nepoznali, že jde o pozpátku puštěný záznam. Většina fyzikálních zákonů se totiž při obrácení směru toku času chová úplně stejně. Tomu se říká T symetrie (T jako Time). Ale neplatí to stoprocentně, existují totiž děje v slabé jaderné interakci, které T symetrii porušují. Takže kdybyste prohodili ve všech systémech směr toku času, neprobíhaly by fyzikální děje úplně stejně a bylo by možné poznat rozdíl. Přesto ale, řada systémů na mikroskopické úrovni T symetrii neporušuje. Proč tedy v mikrosvětě může čas klidně plynout pozpátku, ale v makrosvětě ne?
No, jde právě o složitost těchto systémů. V případě jedné nebo dvou čdsástic to není problém, ale v případě mnoha miliard částic už to problém je. Zatímco interakce dvou částic může klidně proběhnout oběma směry času, v případě dějů v makrosvětě je to problém. Proč? Představte si například hrnek. Zatímco existuje jen velmi málo způsobů, jak uspořádat částice hrnku, tak aby mohl vzniknout hrnek plnící svůj účel, existuje naopak řádově více způsobů, jak hrnek rozbít. Pokud budete mít kupu střepů, když jimi hodíte na zem, mnohem pravděpodobněji vám vznikne větší kupa střepů, ale nevznikne původní uspořádaný hrnek. Tedy mohl by, ale je to extrémně nepravděpodobné. Tak nepravděpodobné, že byste na takovou událost museli čekat mnohem déle, než je současné stáří vesmíru.
Jak se systémy zesložiťují, přestává pro ně T symetrie platit, a naopak platí to, že čas plyne jen jedním směrem. Tomu se říká šipka času. Když mluvíme o šipce času, obvykle rozlišujeme několik jejích typů. Jednak lze hovořit o šipce psychologické, ta souvisí s naším vnímáním a naším mozkem. Pak hovoříme o šipce kosmologické, ta se projevuje expanzí vesmíru. Dále můžeme hovořit o šipce biologické, která souvisí se směrem evoluce života a také lze hovořit o šipce vlnové, ta se zase projevuje tím, že se vlny šíří vždy od zdroje směrem ven. A nakonec tu máme šipku termodynamickou, která je založena na růstu poněkud tajemné veličiny nazývané entropie.
Entropie
Veličina známá jako entropie má poměrně složitou definici, kterou si ale my můžeme zjednodušit. Často se říká, že entropie je míra neuspořádanosti systému. Potíž je, že sám pojem neuspořádanost není dobře definovaný, takže je lepší říkat míra neurčitosti daného systému. Entropie je důležitá pro obor fyziky známý jako termodynamika. Druhý termodynamický zákon, mnohými fyziky považovaný za nejdůležitější fyzikální zákon vůbec nám říká, že entropie uzavřeného systému vždy roste, nebo v nejlepším případě, zůstává stejná. Nemůže se však nikdy snižovat.

Zdroj: https://assets.coursehero.com/
Důležité tam je ovšem to slovo otevřený systém. Entropii je možné snížit, avšak do systému musí být dodána zvenčí práce. Typickým příkladem systému s vysokou entropii je dětský pokoj. Pokud tento pokoj někdo uklidí, sníží entropii. Ale na to, aby mohl entropii snížit potřebuje vykonat práci. Takže celková entropie se zvýší, byť lokální entropie pokoje se snížila. Toto je tako častý argument proti evoluční teorii. Kreacionisté tvrdí, že evoluce porušuje druhý termodynamický zákon. Jenže aby mohla evoluce fungovat, musí být na Zemi dodávána energie ze Slunce, takže celková entropie se opět zvýšila, byť entropie na Zemi se lokálně mohla snížit.
Kolaps vesmíru

Zdroj: https://archbudgie.wordpress.com/
Znáte seriál Červený trpaslík a díl pozpátku? V něm posádka Červeného trpaslíka pobývá v alternativním vesmíru, který se smršťuje. To je zjednodušeně vesmír s vyšší než kritickou hustotou, který již prošel fází maximální expanze a začal se smršťovat, až nakonec skončí v opaku Velkého třesku, Velkém krachu. Ten bude současně impulsem pro další Velký třesk. Zajímavé je, že v tomto vesmíru plynul čas pozpátku. Auta jezdila pozpátku, lidé mluvili pozpátku, nápisy byly pozpátku.
Stalo by se něco takového i v případě, že by se vesmír skutečně začal smršťovat? Obrátila by se šipka času? Na první pohled je to zajímavá představa a je to celkem představitelné, když se vesmír rozpíná, plyne čas jedním směrem, když se smršťuje, plyne čas opačně. Ale tak by tomu nebylo. Důvodem je právě entropie. Ta by totiž rostla, i kdyby se vesmír smršťoval. Velký třesk je totiž stav s nízkou entropií, zatímco Velký krach by byl stavem s vysokou entropií. I ve smršťujícím se vesmíru by tedy čas plynul normálně.
Předpokládejme ale, že by se při přepnutí z rozpínání do smršťování vesmíru čas skutečně otočil. S tím totiž souvisí jeden zajímavý paradox. Dejme tomu, že by zlom mezi rozpínáním a smršťováním nastal 1. července v 12:00. V takovém případě by pozorovateli 1. července v 11:59 přišlo, že do změny chybí jedna minuta. Pak by došlo k otočení a pozorovateli z 1. července by ve 12:01 přišlo, že do změny stále chybí jedna minuta.
Cestování časem do minulosti a do budoucnosti
Možná si tedy můžete myslet, že cesty v čase fyzikální zákony zakazují. Řekli jsme si přece, že čas vždy plyne jen jedním směrem. Přesto ale cestování v čase, aspoň v principu možné je. A to do minulosti i budoucnosti. Jak uvidíme vzápětí, cestování do minulosti je hodně na hraně možného a stále se o něm vedou velké spory. Oproti tomu cestování časem do budoucnosti je, opět aspoň v principu, výrazně jednodušší.

Zdroj: https://cdn.mos.cms.futurecdn.net/
V podstatě lze dokonce říci, že každý z nás cestujeme časem. A to konkrétně tedy do budoucnosti. A to tedy přesně rychlostí jedné sekundy za sekundu, což je ale opět poněkud nic neříkající výrok. Prostě žijeme a čas pro nás plyne. Pochopitelně bychom ale rádi buď cestovali do vzdálenější budoucnosti, abychom zjistili, jak se vyvinuly některé věci, které nás trápily, popřípadě abychom se dozvěděli, co se třeba stalo s lidským druhem. Nebo ještě lépe bychom chtěli cestovat do minulosti, abychom zabránili úmrtí milované osoby, změnili důležité rozhodnutí a podobně. A oboje v principu lze. Respektive, cesty do budoucnosti jsou principiálně jednoduché, cesty do minulosti podstatně složitější, ale ani ty fyzikální zákony zřejmě přímo nezakazují.
Cesty do budoucnosti a paradox dvojčat

Zdroj: https://upload.wikimedia.org/
Zaměřme se tedy nejprve na jednodušší variantu a řekněme, že chceme cestovat do budoucnosti. Jak bychom to mohli provést? To nám říkají Einsteinovy teorie, speciální a obecná relativita. Tyto teorie předvídají jev, jenž byl již mnohokrát skutečně naměřen, a který známe jako dilataci času, doslova tedy roztažení či zpomalení času. Každá z obou teorií předpovídá trochu jiný typ dilatace času.
Speciální relativita pracuje s tzv. kinetickou dilatací času, odborně jde o to, že hodiny, které se vůči vztažné soustavě S pohybují, jdou pomaleji než hodiny, které jsou vůči soustavě S v klidu. Upozorňuji, že to není věc chyby měření nebo přesnosti měřících přístrojů. Jde o objektivní skutečnost. A platí nejen pro hodiny, ale i pro živé bytosti. Tedy, pokud bych letěl v raketě rychlostí blízkou rychlosti světla, pak bych stárnul pomaleji než lidé, kteří by zůstali na Zemi. Čím vyšší rychlosti dosáhnu, tím pomaleji budu stárnout. Kdybych mohl dosáhnout rychlosti světla, čas by se pro mě zcela zastavil.
S tím souvisí známý paradox dvojčat. Představme si, že máme dvojčata, z nichž jedno bude pobývat v kosmické stanici v kosmickém prostoru, zatímco druhé absolvuje cestu k Alfě Centauri a zpět. Když se vrátí, zjistí, že zestárl mnohem méně než jeho dvojče na kosmické stanici. Pohyboval se totiž rychlostí blízkou rychlosti světla, takže čas pro něj plynul výrazně pomaleji. O paradoxu mluvíme proto, že lze chybnou úvahou dojít k závěru, že dvojče zůstávající na stanici ve Sluneční soustavě by mohlo naopak zestárnout méně, neboť se pohyboval i s naším systémem vysokou rychlostí vzhledem ke svému sourozenci v raketě.
Vysvětlení je zde prosté. Speciální relativita říká, že dilatace času platí pro inerciální vztažné soustavy. To jsou soustavy v klidu anebo rovnoměrném přímočarém pohybu. A to je zde porušeno. Situace obou sourozenců nejsou stejné a symetrické. Zatímco dvojče setrvávající na kosmické stanici bylo v inerciální soustavě, soustava pohybujícího se sourozence je neinerciální. Při svém letu totiž musel nejprve zrychlovat a poté zpomalovat u cílové soustavy, ale i kdyby celou cestu letěl stejnou rychlostí, u cílové hvězdy by stejně musel provést otočku. Tudíž porušil inerciálnost své soustavy. Takže zcela objektivně v tomto případě méně zestárl sourozenec letící raketou ke hvězdě.

Zdroj: https://3.bp.blogspot.com/
Obecná relativita pracuje s tzv. gravitační dilatací času. Jde o to, že v silném gravitačním poli plyne čas pomaleji než v poli slabším. Tedy kupříkladu na povrchu neutronové hvězdy plane čas podstatně pomaleji než ve vzdálenosti milionu kilometrů od této neutronové hvězdy. Analogicky totéž platí samozřejmě i pro jakékoliv jiné objekty, černé díry, naše Slunce či náš Měsíc. Byť pochopitelně velikost této dilatace bude u hmotnějších objektů výraznější než u objektů méně hmotných.
Naměřili jsme relativistické efekty i ve skutečnosti?
Řekli jsme si, že se dilatace času projevuje nejsilněji při obrovských rychlostech a při velmi silných gravitačních polích. Nejde jen tedy o nějaké plácání a není to tak, že tyto efekty jsme dosud neměřili? Není! Tak například v horních vrstvách atmosféry vznikají částice zvané miony, což jsou těžší sourozenci elektronů. Tyto částice mají velmi krátký poločas přeměny, takže by se měly rychle rozpadnout. Přesto je i na povrchu Země dokážeme detekovat. A to proto, že tyto částice letí obrovskou rychlostí a tím pádem se u nich uplatňuje dilatace času.

Zdroj: http://www.leapsecond.com/
Tento efekt ale umíme měřit i u pomalejších rychlostí a relativně slabých gravitačních polí. Typickým příkladem je Hafeleův – Keatingův experiment. Dva fyzikové při něm s atomovými hodinami obletěli zeměkouli nejprve v jednom směru a následně ve směru druhém. Přitom měřili dilataci času ve srovnání s referenčními atomovými hodinami, které zůstaly v laboratoři. A tyto efekty skutečně naměřili. Sice jsou v řádu nanosekund, ale existují. Podobný experiment byl poté ještě několikrát zopakován.

Zdroj: https://www.researchgate.net/
Tytéž relativistické efekty se navíc uplatňují i u satelitních navigačních systémů typu GPS či Galileo (platí pochopitelně i pro všechny další navigační systémy, globální i regionální). I zde dochází k dilataci času a hodiny na povrchu Země a na družicích mají proto jiný čas. Z toho důvodu je nutné, aby se u GPS či Galilea prováděly korekce dle efektů speciální a obecné relativity, jinak by byla taková navigace k ničemu. Chyba by byla tak výrazná, že už první den by se stala navigace bez příslušných korekcí zcela nepoužitelnou, protože by vykazovala chyby v řádu kilometrů. A jak jistě sami uznáte, podle navigace s chybou několik kilometrů byste se v autě dostali leda tak na jedno místo, ale určitě ne tam, kam byste potřebovali. Nehledě na námořní kapitány, záchranáře, hasiče, vojáky a další profese, kteří satelitní navigace nutně potřebují k výkonu svých povolání či dokonce záchraně lidských majetků či životů.
Analogicky se korekce podle relativity používaly třeba i pro mise programu Apollo, který dopravil lidskou posádku na Měsíc. Následující příklady skvěle ukazují to, proč je důležitý základní výzkum a proč nelze podporovat jen výzkum aplikovaný. Když Einstein vytvářel svou speciální a obecnou relativitu, nemohl vůbec tušit, že se jednou budou používat právě k těmto účelům, neboť v té době byl nejrychlejším dopravním prostředkem vlak, letectví bylo v plenkách a o nějakých kosmických letech uvažovali jen snílkové. Podotýkám, že Einstein zemřel dva roky před startem první družice světa Sputnik.
Skuteční cestovatelé do budoucnosti

Zdroj: https://upload.wikimedia.org
A co více, už dnes žijí mezi námi skuteční cestovatelé časem do budoucnosti. Lidé, kteří oproti jiným lidem stárli pomaleji. Koho mám na mysli? Astronauty samozřejmě. Platí to pro všechny, neboť podobně jako u navigačních družic, i například na ISS se relativistické efekty kinematické dilatace času uplatňují, neboť se ISS pohybuje poměrně vysokou rychlostí.
Nejsilnější je efekt dilatace času pochopitelně pro astronauty, kteří pobývali v kosmickém prostoru velmi dlouho. Poměrně silně se tak dilatace času uplatnila pro ty, kteří nasbírali nejvíce dní v kosmickém prostoru. Mohli byste si také myslet, že se efekt uplatnil silně pro ty vyvolené, kteří cestovali nejrychleji. Tím myslím astronauty programu Apollo, ale u nich to bohužel tak slavné není, jak si za chvíli ukážeme.
Podívejme se nejprve na první případ, tedy astronauty, či spíše v tomto případě kosmonauty, kteří mají nejvíce dnů strávených v kosmickém prostoru. Všichni, kteří strávili v kosmu více než dva roky, jsou totiž Rusové, respektive Sověti. Jsou to Oleg Kononěnko (ten má jako jediný přes tři roky v kosmickém prostoru), Gennadij Padalka, Jurij Malenčenko, Sergej Krikaljov, Alexander Kaleri a Sergej Avdějev. Brzy by se k nim navíc mohl přidal i Oleg Artěmjev, který má již nominaci na další, čtvrtý, kosmický let. Nyní má 560 dní, takže pokud bude let trvat alespoň 170 dní, i on překoná dva roky v kosmu. Pro představu, nejúspěšnější západní astronaut, či v tomto případě astronautka, je Peggy Whitson, která v kosmu strávila 695 dní a do dvou let jí tak chybí 35 dní.

Zdroj: https://images-assets.nasa.gov/
Jak to tedy časově vychází pro tyto kosmonauty z hlediska dilatace času? Kupříkladu Sergej Krikaljov ušetřil oproti stavu, kdy by byl celý život na Zemi lehce přes 2 setiny sekundy. Gennadij Padalka, druhý v pořadí s 878 dny v kosmu, ušetřil oproti situaci, kdy by byl celý život na Zemi asi 2,6 setiny sekundy. Oleg Kononěnko tedy ušetřil asi 3,2 setiny sekundy. V případě ostře sledovaného sourozeneckého dua bratří Kellyových, kdy byl Scott na ISS a Mark na povrchu Země, byl za Scottův 340 dní dlouhý pobyt na ISS rozdíl asi 0,9 setin sekundy. Jak tedy vidíte, žádná sláva to není.
Co ale druhý případ? Co když se vydáme k Měsíci, jako astronauté misí Apollo? Chceme-li ušetřit čas, je nejlepší Měsíc jen obletět. Měsíc je totiž menší těleso s nižším tíhovým zrychlením a slabším gravitačním polem, takže v důsledku obecné relativity běží hodiny na povrchu Měsíce oproti těm pozemským o něco rychleji. Nejhůře na tom tedy byli astronauté těžkých misí Apollo 15 (Scott a Irwin), 16 (Young a Duke) a 17 (Cernan a Schmitt), kteří na Měsíci strávili nejvíce času. Nejlépe na tom naopak byly posádky misí Apollo 8 a Apollo 13, ty ušetřily 300, respektive 326 mikrosekund. Mikrosekunda je miliontina sekundy, to je 0,0003 sekundy.
Vidíte tedy sami, že Oleg Kononěnko získal za svůj 1100 dní dlouhý pobyt v kosmickém prostoru o dva řády více času než astronauté při misích k Měsíci. To jim jistě nevadilo, vždyť zažili něco, co s nimi sdílí jen hrstka dalších lidí. Nicméně, pokud chcete dilatací času šetřit čas, je zatím nejlepší dlouhodobě pobývat na kosmických stanicích. I ty se totiž pohybují poměrně rychle a kumulovaná délka letů v řádu roků zcela vykompenzuje vyšší rychlost letů do hlubšího vesmíru. Pokud byste však chtěli letět dále od Země, je rozumné dosáhnout co nejvyšší rychlosti a současně se vyvarovat přistávání na tělesech s nízkým gravitačním polem.
Jak tedy cestovat do budoucnosti?

Zdroj: https://c02.purpledshub.com/
Předpokládejme, že byste se ale chtěli vydat do vzdálenější budoucnosti, ne pouze o několik milisekund, ale zatoužili byste třeba zjistit, co bude na Zemi za stovky či tisíce let. Jak toho dosáhnout? Potřebujete docílit velké dilatace času. Jak jsme si už řekli, můžete to udělat dvěma způsoby, pohybovat se velmi vysokou rychlostí anebo být v silném gravitačním poli. Pochopitelně, čím vyšší rychlost a čím silnější gravitační pole, tím lepší. Nejlepších výsledků byste proto dosáhli, kdyby se vám podařilo vznášet se třeba jen milimetr nad horizontem událostí černé díry, popřípadě kdybyste dokázali letět rychlostí třeba 99,99 % rychlosti světla.
Samozřejmě, lze právem namítat, že pro dosažení takové rychlosti byste spotřebovali gigantické množství paliva a stejně by se vám to pravděpodobně nikdy nepodařilo, protože se ukazuje, že všechny způsoby, jak dosáhnout takto vysoké rychlosti, jsou ve skutečnosti neúčinné a byli byste rádi třeba i jen za 5 % rychlosti světla. Stejně tak v případě silného gravitačního pole u neutronové hvězdy nebo černé díry byste pocítili doslova na vlastní kůži slapové efekty, které by vás velmi rychle dovedly zabít. To teď ale nechme stranou. Předpokládejme, že je možné dosáhnout rychlosti blízké rychlosti světla anebo přežít v silném gravitačním poli. Jak velký efekt by nastal?

Zdroj: https://1.bp.blogspot.com/
Uvažujme teď cestování vysokou rychlostí. Pro procenta nebo i nižší desítky procent by byl efekt dilatace času stále dosti malý. Aby se nám začínalo vyplácet o něm vůbec uvažovat, museli bychom se dostat třeba na 90 % rychlosti světla. V takovém případě by jedné sekundě na lodi byly ekvivalentní 2,29 sekundy na Zemi. V případě 99,99 % rychlosti světla je už jedna sekunda na lodi ekvivalentní 1 minutě a 11 sekundám na Zemi. To už je více než sedmdesátinásobné zpomalení času. A kdybyste snad dokázali dosáhnout 99,9999999 % rychlosti světla, pak by za jedinou sekundu na lodi uplynulo na Zemi 6 hodin a 12 minut! To současně znamená, že za jediný rok lodního času by v tomto případě na Zemi uběhlo neuvěřitelných 22 360 let!
Stačilo by vám tedy pár let létat vesmírem a mohli byste cestovat o desítky nebo i stovky tisíc let do budoucnosti. A kdybyste snad cestovali ještě rychleji, pak byste třeba mohli navštívit Zemi za stovky milionů let a zjistit, jak se bude vyvíjet život, či dokonce se podívat na Slunce jako rudého obra či bílého trpaslíka. Limit je aspoň principiálně téměř nekonečný. Už jsme si totiž řekli, že rychlosti světla nelze dosáhnout, tato rychlost se v podstatě rovná nekonečnu. Můžeme se jí libovolně přiblížit, ale ne jí dosáhnout. Na to bychom potřebovali nekonečné množství paliva a nekonečný čas. Čím rychleji ovšem letíme, tím více cestujeme do budoucnosti. Takže kdybychom dosáhli ještě vyšších rychlostí, mohli bychom, alespoň v principu, cestovat tedy i do biliony nebo biliardy let vzdálené budoucnosti. Zanedbáme-li ovšem všechny praktické obtíže.
Zní prozkoumání vzdálené budoucnosti lákavě? Možná ano, ale přemýšlejme o tom chvíli. Kdybyste odcestovali do vzdálené budoucnosti, vrátili byste se na Zemi, která by té naší dnešní byla jen vzdáleně podobná, pokud by vůbec ještě existovala. Ale i kdyby ano, v případě milionů let by už nemuselo existovat lidstvo, popřípadě by se změnilo k nepoznání a zřejmě byste nepoznali ani téměř žádné druhy rostlin či živočichů. Všichni vaši přátelé a blízcí by byli dávno mrtví. Opravdu by vám to stálo za to? Můžete si samozřejmě říci, že byste pak mohli použít stroj času a odcestovat do minulosti, ale tak jednoduché by to bohužel nebylo. Jak si ukážeme, cestování do budoucnosti by bylo dost možná jednosměrná cesta bez možnosti návratu.
Intermezzo – Tachyony
Než se pustíme do cestování do minulosti, musíme si povědět něco o tachyonech. Jde o hypotetické částice, jež jsou hodně oblíbené u tvůrců sci-fi. Objevily se například v seriálech Star Trek či Červený trpaslík. Na tachyonech je zvláštní to, že by se měly pohybovat rychleji, než je rychlost světla ve vakuu, to je činí výjimečnými. Možná vás to překvapí, ale jejich existenci fyzika nezakazuje. Nicméně, žádná soudobá fyzikální teorie je ke svému správnému fungování nepotřebuje. A Occamova břitva nám říká, že nemáme do hypotéz a teorií přidávat části, které nejsou nezbytné pro dosažení kýžených výsledků. Proto se většina fyziků domnívá, že tachyony ve skutečnosti neexistují.

Zdroj: https://images.saymedia-content.com/
Možná jste se ale zarazili u části, kde tvrdím, že takovéto částice mohou existovat. Relativistická fyzika nám přece stanovuje limit rychlosti světla ve vakuu, který nelze překonat, takže by se mohlo zdát, že tachyony jsou se speciální relativitou v rozporu. Ale není tomu tak. Pro tachyony platí limit rychlosti světla úplně stejně jako pro normální částice, jen naopak. Tachyony totiž létají nadsvětelnou rychlostí a nikdy nemohou cestovat pomaleji než právě rychlostí světla. Respektive, mohou se této rychlosti přiblížit, ale nemohou jí nikdy dosáhnout, jen ne zdola, ale shora. Hodnota rychlosti světla je 299 792 458 m/s, takže tachyon může letět třeba 299 792 460 m/s, ale nemůže rychlosti světla dosáhnout. S tím souvisí paradoxní chování. Pokud bychom tachyon zpomalovali, měl by čím dál vyšší energii a naopak, když bychom jej zrychlovali, jeho energie by klesala.
Zajímavé je, že i s tachyony souvisí cestování časem. Jak jsem říkal, čím rychleji letíme, tím více do budoucnosti bychom cestovali. To ovšem platí jen do dosažení limitu rychlosti světla. U tachyonů je to jinak. Z našeho pohledu by se dosažení nadsvětelné rychlosti totiž rovnalo cestování v čase do minulosti. Toho se také využívá v některých sci-fi, když se přes tachyony posílají zprávy do minulosti. Což je zajímavý koncept, nicméně má pár zásadních vad. Vůbec nevíme, zda tachyony existují, i kdyby existovaly tak nevíme, jak s nimi pracovat a už vůbec nevíme, jak přes ně posílat informace, pokud to vůbec lze.
Jak se vrátit v čase?

Zdroj: https://cdna.artstation.com/
I když je cestování časem do budoucnosti jistě zajímavé, když se mluví o cestování časem, většina lidí si spíše představí cesty do minulosti. To je dáno několika faktory. Jednak se ve známých dílech populární kultury spíše ukazují právě cesty časem do minulosti, ať už je to Stroj času H. G. Wellse, filmová trilogie Návrat do budoucnosti, filmová oktalogie Harry Potter a další. Jednak to určitě souvisí i s tím, že ačkoliv je prozkoumávání budoucnosti fascinující, většina lidí by se chtěla spíše v čase vrátit, aby něco udělali znovu a lépe, aby napravili předchozí chyby. Jak říkají protagonisté seriálu Červený trpaslík, mohli byste se třeba vrátit do Dallasu v roce 1963 a zařvat na prezidenta J. F. Kennedyho: „Zalez!“
Zní to lákavě, že? No, ovšem, je otázka, zda by vás prezident poslechl, a i pokud ano, zda by stejně při střelbě nezemřel. A i kdyby přežil, je otázka, zda by výsledek nebyl horší než skutečnost, kterou známe z našeho světa, jak vtipně ilustruje právě jeden díl Červeného trpaslíka. Ale dejme tomu, že ne. Dokázali bychom však do minulosti odcestovat? Na rozdíl od cest da budoucnosti je cestování do minulosti velmi komplikované, takže si mnoho lidí myslí, že je dokonce zcela nemožné. Přesto se podívejme na koncepty, jak by do minulosti, aspoň v principu, cestovat šlo.
Gödelův vesmír

Zdroj: https://www.hvezdarna.cz/
S prvním fyzikálním řešením umožňujícím cestování do minulosti přišel německý matematik a logik narozený v Brně Kurt Gödel. V roce 1949 publikoval přesné řešení Einsteinových rovnic, které bylo velmi zvláštní. Jen malá odbočka, Einsteinovy rovnice je totiž dosti obtížné řešit, není to jako rovnice a2 + b2 = c2, ale nepředstavitelně složitější. Takže existuje mnoho různých řešení známých po svých autorech, třeba Schwarzschildovo nebo Kerrovo řešení popisují jistý typ černých děr. Co se týče Gödelova řešení, to popisovalo vesmír, jenž obsahuje zápornou kosmologickou konstantu, a přitom jako celek rotuje.
V Gödelově vesmíru lze cestovat v čase do minulosti. Má to jednu zásadní vadu, náš vesmír neodpovídá tomuto Gödelovu řešení, jelikož neexistují žádné doklady zápornosti kosmologické konstanty nebo jeho rotace. Existují i upravené verze modelu, které obsahují expanzi objevenou Hubblem a Lemaitrem a také počítají s rotací vesmíru, ale cestovat v čase do minulosti v nich možné není. Tyto modely jsou hypoteticky v souladu s naším vesmírem, za předpokladu velmi nízké rychlosti rotace kosmu. Pozorovací data stále o rotaci nic významného neříkají. Gödel se až do smrti ptal astronomů, jestli už vesmír rotuje a oni mu stále museli odpovídat, že bohužel nerotuje. V každém případě i kdyby rotoval, v této verzi kosmu by cesty do minulosti možné nebyly. Toto řešení proto můžeme opustit.
Kosmické struny

Zdroj: https://www.quantamagazine.org/
Při narušení symetrie v raném vesmíru mohly vznikat tzv. topologické defekty, a to několika typů. Nuladimenzionální topologický defekt je magnetický monopól, hypotetická částice, která obsahuje pouze jeden magnetický pól, což jinak není možné, neboť při rozdělení magnetu na libovolně malé části vzniknou dva nové magnety, z nichž každý má opět oba póly, severní i jižní. 2D topologický defekt je doménová stěna, ale nás teď budou nejvíce zajímat 1D topologické defekty, kterým se říká kosmické struny. Po všech typech topologických defektů astronomové pátrají, ale dosud neúspěšně, byť existují nějací kandidáti, ale nic jistého. Pokud platí inflační model kosmu, pak bychom ani příliš velké množství topologických defektů pozorovat neměli, neboť byly odfouknuty za náš horizont.
Upozorňuji raději dopředu, že kosmické struny jsou jiným typem strun než struny, s nimiž operuje teorie strun. Struny ve strunové teorie, ať už uzavřené nebo otevřené, to je v tomto případě jedno, jsou neskutečně malé, na úrovni Planckovy délky 10-35 metru. Naopak kosmické struny by měly být dosti velké, nebo přesněji řečeno dlouhé, a to klidně světelné roky nebo i více, jejich průměr by však byl řádu femtometrů, tedy asi jako rozměr protonu. Proto se tento rozměr obvykle zanedbává a kosmické struny se studují s tím, že předpokládáme jejich nulovou šířku.

Zdroj: https://www.symmetrymagazine.org/
Kosmické struny také mají tu zajímavou vlastnost, že v jejich blízkém okolí dochází k pozoruhodným fyzikálním jevům a neobvyklému chování prostoročasu. Z toho důvodu by při správném použití kosmické struny mohly umožnit cestování časem do minulosti. V tomto případě by nebyl ani tak problém v rychlosti letu k nějaké kosmické struně a v tom, že bychom ji museli správně oblétávat, abychom cestovali do minulosti, ale zejména v tom, že kosmické struny jsou v našem vesmíru extrémně vzácné, pokud vůbec nějaké existují.
Ovšem, pokud existují, posloužila by jako stroj času buď rychle rotující kosmická struna nebo dvě rovnoběžné kosmické struny míjející se vysokou rychlostí. Kdybychom je správným způsobem a co nejblíže k nim obletěli, mohli bychom cestovat do minulosti. Stejným způsobem by šlo použít i rotující válec z hustého materiálu. To má jen dva problémy. Takový válec by musel být nekonečně dlouhý a bylo by třeba aby se otáčel rychlostí několika tisíc otáček za sekundu. Analogicky by šlo ještě použít dlouhou řadu černých děr či neutronových hvězd srovnaných do přímky, s čímž je ale zase problém z hlediska slapových sil. Astronaut by průlet blízko jejich povrchu nemohl přežít.
Červí díry

Zdroj: https://upload.wikimedia.org/
Nejnadějnějším způsobem pro cesty do minulosti jsou tak červí díry. I ty mají ve sci-fi bohatou historii. Objevují se například ve filmu Interstellar, ale jako první je použil Carl Sagan ve svém románu (později zfilmovaném) Kosmos, kde je ovšem neužívá pro cesty do minulosti, ale na velké kosmické vzdálenosti. Tuto ideu ovšem nevymyslel sám, pomohl mu s tím jeho kamarád a významný relativistický fyzik Kip Thorne.
Červí díra je hypotetický objekt, který umožňuje zkrátit cestu mezi dvěma body v prostoročasu. Představme si například, že bychom chtěli navštívit Alfu Centauri, i kdybychom dosáhli 99 % rychlosti světla, bude nám cesta trvat 4,5 roku. Nicméně, kdybychom měli červí díru vytvářející zkratku přes hypotetický hyperprostor, mohli bychom se dostat k Alfě Centauri mnohem rychleji, třeba v řádu dnů či dokonce hodin nebo minut. A taková červí díra by umožnila i cestování v čase do minulosti. Původní koncept navrhli Einstein a Rosen a je známý jako Einsteinův-Rosenův most, jeden z typů červích děr. Název pak odkazuje na červa, který se může prokousat skrze jablko, místo aby lezl po jeho povrchu, a zavedl jej v 50. letech americký fyzik John A. Wheeler.
Ani o červích dírách ale bohužel nevíme, zda v našem vesmíru reálně existují. Vím, že nelze červí díru vyrobit, to fyzikální zákony zakazují. Nicméně je představitelné, že existují nějaké červí díry od počátku existence vesmíru, popřípadě, že se vyskytují v kvantové pěně, turbulentním chování prostoročasu na mikroskopické úrovni. Takovou červí díru bychom si museli vytáhnout z mikrosvěta, zvětšit a stabilizovat. Teprve potom by šla použít.

Zdroj: https://cdna.artstation.com/
A to nejen k cestování na vzdálená místa, ale i k cestování časem. Úplně ideální by bylo, kdybychom dokázali s jedním koncem červí díry manipulovat, potom bychom si ho mohli umístit kam bychom potřebovali. Například jeden konec červí díry pomocí nějakého hypotetického superpohonu vzít na cestu rychlostí blízkou rychlosti světla nebo do silného gravitačního pole. Potom by zafungovala relativistická dilatace času a díky tomu by měl každý vstup červí díry posunuté hodiny. Zkrátka, pro ten konec, který by byl na cestě, by čas plynul pomaleji. Když bychom pak tento vstup červí díry vrátili na původní místo, mohli bychom jej používat jako stroj času.
Naneštěstí i toto řešení má vážné vady. Tak například, abychom dokázali červí díru udržet dostatečně dlouho otevřenou, museli bychom použít tzv. exotickou hmotu, to je hmotu, která má zápornou energii. Něco takového je technicky možné díky Casimirově jevu, ale bylo by velmi obtížné získat takovou hmotu a získat jí dostatečné množství. A ani to by možná nepomohlo. Ukazuje se, že každá červí díra by se dost možná, kvůli relativistickým efektům, uzavřela dříve, než bychom jí stihli projít, a i pokud by se neuzavřela, mohly by nás zabít vedlejší efekty, jako je záření procházejících částic. A aby toho nebylo málo, už jen opětovné přiblížení obou vstupů červí díry by ji mohlo zničit v důsledku zpětného rázu.
Existují též představy, že by červí díry mohly sloužit dokonce jako propojení dvou nezávislých vesmírů. Jestliže tedy existují nějaké alternativní vesmíry, například v rámci multiversa, či kosmologických teorií typu ekpyrotického modelu nebo jiných modelů, kteří operují se dvěma a více vesmíry, červí díry by mohly sloužit pro cestování mezi těmito dvěma (nebo více) vesmíry.
Problém všech typů strojů času
V literatuře se často opomíjí zásadní problém, který všechny typy strojů času, kterými by šlo cestovat do minulosti, mají. Totiž to, že takovým strojem času lze cestovat nejdříve do okamžiku, kdy takový stroj vznikl, ale ne dříve. Jinými slovy, pokud bych měl stroj času, který bych vyrobil 1. 1. 2021, mohl bych nyní, tedy 17. 8. 2025 (den, kdy píši tuto pasáž článku), cestovat do 1. 1. 2021 nebo libovolného dne potom, ale nikdy ne do období předtím, tedy jakýkoliv den před 31. 12. 2020 (včetně) by pro mě byl nedosažitelný.

Zdroj: https://miro.medium.com/
Pokud byste tedy například rádi zachránili dinosaury, jakýkoliv aktuálně vyrobený stroj času by vám byl naprosto k ničemu. Musel byste narazit na nějaký stroj času, který buď vznikl přirozeným způsobem, nebo který vyrobila nějaká supervyspělá inteligentní civilizace minulosti.
Morální problémy u cest časem

Zdroj: https://upload.wikimedia.org/
Na závěr našeho článku pojďme trochu filosofovat. Je otázka, zda je cestování v čase do minulosti možné. Pokud ano, pak je otázka, zda můžete minulost měnit. Jestliže byste totiž mohli měnit minulost, otevírá to celou řadu nepříjemných problémů. Nejprve se zaměřme na ty morální.
Dejme tomu, že máte stroj času a odcestujete do minulosti. Mohli byste tak třeba sázet ve sportce nebo sázet na sportovní utkání a vždycky vyhrát (ponechme stranou, že by kvůli náhodě možná některé události mohly dopadnout jinak). Nicméně to je stále ještě řekněme morálně na hraně. Můžete ale třeba páchat i horší finanční prohřešky.
Anebo extrémní situace. Dejme tomu, že byste odcestovali do minulosti a tam třeba zavraždili člověka, kterého opravdu nemáte rádi. A potom byste se zase vrátili do budoucnosti. Co potom s vámi? Lze vás potrestat? Dejme tomu, že byste odcestovali třeba do starého Říma a zabili císaře Nerona. A pak se vrátili do roku 2025. Lze vás potrestat, když je promlčecí lhůta vraždy běžně třeba 20-30 let a zločin se stal před téměř 2000 roky? Popřípadě dejme tomu, že byste odcestovali do ještě vzdálenější minulosti. Lze vás potrestat za něco, co jste ještě nespáchali?
A nemusíte ani chtít rovnou páchat zločiny. Ale představme si situaci, že byste se vydali do minulosti zabít Hitlera nebo Stalina. Můžeme se sice bavit o tom, že někoho zabít je špatné, ale v tomto případě by váš záměr mohl být morální, chtěli byste zachránit desítky milionů životů. Ale jak můžete vědět, co by jejich zabití způsobilo? Co kdyby se k moci dostal ještě někdo horší nebo ještě hůře schopnější? Hitler například byl tak přesvědčen o své výjimečnosti, že se v průběhu 2. světové války dopustil několika zásadních chyb. Co kdyby v důsledku vaší akce získal velení někdo schopnější, kdo by dokázal válku vyhrát nebo minimálně vést o několik let déle a v důsledku toho by zahynulo ještě více lidí?
Časové paradoxy

Zdroj: https://i0.wp.com/
S cestováním do minulosti navíc souvisí ještě jeden problém, a to jsou paradoxy. Nejčastěji se uvádí tři paradoxy – paradox dinosaurů, paradox něco z ničeho a paradox dědečka. Pojďme si je představit.
Kdo by neměl rád dinosaury? Představte si cestovatele časem, který se vydal 66 milionů let zpět na konec druhohor, aby zabránil jejich vyhynutí tím, že zničí asi 10 km velkou planetku, která tehdy dopadla do Mexického zálivu. Když však dorazí na místo, zjistí, že planetka, která míří na kolizní kurs se Zemí, je mnohem větší, má 100 km. Dělá, co může, ale nepodaří se mu zničit planetku úplně a její 10 km velký úlomek dopadne do Mexického zálivu a způsobí vyhynutí dinosaurů a konec druhohor. Cestovatel v čase tedy sám způsobil to, čemu chtěl zabránit. Kdyby se na cestu nevydal, dopadl by na Zemi 100 km velký asteroid, a to by znamenalo konec života na Zemi, jak jej známe. Cestovatel tak svým zásahem velmi pomohl, ale jinak, než zamýšlel a to, čemu chtěl zabránit se stejně stalo. To je paradox, který jsem nazval paradoxem dinosaurů.

Zdroj: https://mediaproxy.tvtropes.org/
Všichni určitě známé slavného malíře, sochaře a vynálezce Leonarda da Vinci. Představme si následující situaci. Leonardo zrovna domaloval svůj nový obraz. Následně se pustí do konstrukce svého nového vynálezu, stroje času. Když stroj času dokončí, najde v něm krásný obraz ženy s lehkým úsměvem, Monu Lisu. Ví, že tento obraz v minulosti nenamaloval, takže mu jej muselo poslat jeho budoucí já. Leonardo tedy obraz nějakou dobu uchovává a po letech jej pošle strojem času zpět do minulosti. To ale znamená, že obraz nenamaloval nikdo! V tomto případě byl tedy porušen známý princip, že něco nemůže vzniknout z ničeho. Uvažujme ještě jednou. Mladý Leonardo našel obraz ve stroji času, poté ho měl u sebe a ke stáru ho poslal strojem času do minulosti. To je paradox něčeho z ničeho. Alternativně si lze představit podobné případy s jinými předměty, které se občas také objevují v některých filmech, ale princip zůstává vždy stejný.
Třetí paradox je asi nejznámější, říká se mu paradox dědečka, paradox babičky, paradox otce, paradox matky… podle toho, kterého rodinného příslušníka nemáte rádi a chtěli byste se ho zbavit. Představme si následující situaci. Cestovatel časem odcestuje do minulosti a tam omylem zabije vlastního dědečka (babičku…) předtím, než poznal jeho babičku a měli spolu jeho matku. Pokud ho ale zabil předtím, než zplodil jeho matku, jeho matka se logicky nenarodila, a tudíž se nemohl narodit ani on sám. Jenže, pokud se cestovatel v čase nenarodil, pak samozřejmě nemohl odcestovat do minulosti a zabít svého dědečka. Aby to mohl udělat, musel se narodit. Docházíme tedy ke zjevnému paradoxu, kterému říkáme paradox dědečka. V některých sci-fi dílech se v případě, kdy cestovatel časem zabije vlastního dědečka, najednou rozplyne v nicotu, prostě zmizí. Ale to samozřejmě není možné, není představitelné, že by najednou zmizelo tak obrovské množství atomů. Takže, jak to tedy je?
Řešení paradoxů

Zdroj: https://upload.wikimedia.org/
Jaké je řešení paradoxů zatím nikdo neví. Existují ale v zásadě tři základní možnosti, které si můžeme probrat podrobněji a několik dalších, které také, aspoň stručně, zmíníme.
První řešení počítá s tím, že cestovat v čase do minulosti není možné, fyzikální zákony to podle zastánců tohoto řešení zakazují. Zatím se nezdá, že by tomu naše znalosti nasvědčovaly. Cestování časem do minulosti je podle současné fyziky v principu možné, i když je pravda, že v praxi je proveditelné jen velmi obtížně, pokud vůbec. Je ovšem pochopitelně také možné, že nějaké pokročilejší fyzikální teorie budoucnosti nám ukáží, že cestování v čase skutečně není možné ani v principu a že ho fyzika skutečně zakazuje. Objevuje se také názor, že každý pokus vytvořit stroj času by skončil kolapsem do gravitační singularity, takže vytvoření či pozorování takové smyčky není možné. Ale jestli to tak je, nevíme.
Druhá možnost je to, že je sice možné do minulosti cestovat, ale není možné ji žádným způsobem měnit. Například, pokud byste se chystali zabít svého dědečka, došlo by k nějakému zásahu, který by tomu zamezil. Problémy tohoto řešení už možná tušíte sami. Proč by mělo k takovému zásahu dojít a co by to vůbec bylo? Jak by „vesmír, Bůh“ (dosaďme si cokoliv) věděl, že zrovna teď má zasáhnout. Je vůbec otázka, zda mají lidé svobodnou vůli, ale pokud ano, tak to tento koncept samozřejmě popírá. A další problém je, že minulost byste mohli změnit i neúmyslně. Tedy například nemusíte chtít zabít Hitlera, ale váš drobný zásah v minulosti by mohl způsobit velké změny v budoucnosti. A čím dále do minulosti, tím menší zásah by stačil.

Zdroj: https://upload.wikimedia.org/
Dejme tomu, že by se váš dědeček z otcovy strany narodil v roce 1940 a při narození měl jen necelé jedno kilo. Protože jste tady ale teď vy, dědeček i tuto náročnou počáteční kapitolu života přežil. Jenže stačilo velmi málo a přežít nemusel, protože organismus takto předčasně narozených dětí je pochopitelně mimořádně citlivý. Stačilo tedy zřejmě velmi málo, aby váš dědeček zemřel a tím pádem byste se vy nenarodili. Možná byste třeba měli stejnou matku, ale váš otec by byl zcela jistě někdo jiný. Takže byste to nebyli vy. Anebo by se vaše matka dokonce nikdy nevdala a nikdy by neměla dítě, protože by nenašla vhodného partnera. To nemůžete vědět, ale zato je téměř jisté, že by stačila opravdu drobná neúmyslná změna, aby váš dědeček nepřežil.
Třetí možnost operuje s interpretací kvantové mechaniky, které se říká interpretace mnoha světů. Ta v jedné, ne zcela široce přijímané a dosti extrémní, verzi počítá s tím, že při každém rozhodnutí se vesmír rozdělí na dva nebo více nových vesmírů. Rozhodnutí je zcela cokoliv, například i to, zda se radioaktivní izotop rozpadne nyní nebo až za minutu. Nemusí tedy jít o vědomé rozhodnutí myslící bytosti, ale o jakýkoli přírodní proces. Pokud tedy například odcestujete do minulosti a něco tam vykonáte, rozdělí se vesmír na více kopií, kde každá varianta bude mít svůj vlastní vesmír, který bude vypadat dle vašeho rozhodnutí.
Existují i jiná vysvětlení, například, že čas je ve skutečnosti iluzí. Další rozhodnutí částečně souvisí s předchozími a říká, že cestovatel vlastně cestuje do jiné dimenze, takže se o cestování v čase v pravém smyslu nejedná. Někteří filosofové se také domnívají, že cestování v čase do minulosti není možné nikoliv proto, že by ho zakazovala fyzika, ale že lze jeho nemožnost demonstrovat díky modální logice.
Další řešení souvisí s předchozími, postuluje totiž tzv. samokonzistentní řešení. To je založeno na práci fyzika Josepha Polchinského, který vymyslel následující paradox. Představme si, že máme stroj času tvořený červí dírou. Do červí díry vyšleme kulečníkovou kouli, kterou vyšleme v přesně správném úhlu, takže projde strojem času a poté co vyletí, srazí se sama se sebou a zabrání sama sobě vstoupit do stroje času. Řešení vypracované několika fyziky spočívá v tom, že lze nalézt samokonzistentní řešení, kdy se této situaci zamezí. Domnívají se totiž, že cestovatel v čase (tedy i kulečníková koule) nemůže udělat v minulosti nic, aby svojí cestě v čase zabránil, neboť to by způsobilo nekonzistenci.
Lze měnit minulost?
Jaké je to pravé vysvětlení, či zda se uplatňuje jejich kombinace, zatím bohužel nevíme, snad nám k tomu něco řekne nová fyzika, kterou snad jednoho dne objevíme. Bohužel tedy nedokážu určit, zda je možné v čase cestovat nebo zda je možné minulost dokonce změnit. Pokud ale ne, je to docela smutná situace. Řekněme, že byste chtěli zachránit milovanou osobu a ona by před vašima očima stejně znovu zemřela. To už by snad bylo lepší si nedělat falešné naděje a v čase necestovat.
Paradox úrokových sazeb a Hawkingův paradox

Zdroj: https://kiteprint.com/
Na úplný závěr na odlehčení dva příklady, které se občas objevují jako důkazy toho, že cestovat v čase do minulosti není možné. Samozřejmě oba je nutné brát s velkou rezervou, jak si za chvíli ukážeme.
Paradox úrokových sazeb říká, že kdyby bylo cestování časem do minulosti možné, musely by být nutně úrokové sazby rovné nule. Na to se dá velmi snadno namítnout, že to nedokazuje nic, protože třeba cestovatelé časem nejsou povrchní a o náš bankovní sektor a peníze nemají žádný zájem.
Hawkingův paradox je akce, kterou zorganizoval legendární fyzik Stephen Hawking. 28. června 2009 uspořádal Hawking party pro cestovatele časem. Nicméně se jí zúčastnil jen on sám. Pozvánky na tuto akci totiž rozeslal až následující den večer. Na svém večírku byl Hawking několik hodin a když stále nikdo nedorazil, Hawking akci ukončil a prohlásil, že to považuje za experimentální důkaz nemožnosti cestování časem.
Vysvětlení je ale opět poměrně prosté. Cestování časem do minulosti opravdu možné být nemusí. I pokud ale je, možná cestovatelé časem v budoucnosti pozvánky obdrželi, ale rozhodli se slavnosti z toho či onoho důvodu nezúčastnit, třeba jen z prosté zlomyslnosti a škodolibosti. Je také možné, že by se i rádi zúčastnili, ale záznamy o konání akce se v budoucnu ztratily. Rovněž je představitelné, že případní cestovatelé časem odcestovali do jiné dimenze, která tu naši neovlivňuje, popřípadě to, že nemají stroj času vyrobený před 28. červnem 2009, takže sice mohou do minulosti cestovat, ale nikoliv do takto vzdálené minulosti.
Závěr
Definitivní odpověď na cestování v čase tak bohužel dát nemůžeme. Cestování v čase do budoucnosti je určitě fyzikálně možné, byť těžko proveditelné, pokud jde o nějaké větší časové úseky. Cestování do minulosti je stále velká záhada a ani nevíme, zda je či není možné.
Rozhodně ale stojí za to zmínit další umělecká díla, která cestování časem zobrazují. Za zhlédnutí rozhodně stojí film Na Hromnice o den více a opomenout nesmíme ani legendární sérii Terminátor, kde stojí za to zejména dva první díly. Pokud jde o českou produkci, nejlepšími českými filmy zpracovávajícími téma cestování časem jsou určitě Zítra vstanu a opařím se čajem a Zabil jsem Einsteina, pánové… Druhý jmenovaný film je zajímavé i tím, že se v něm vůbec poprvé objeví selfie tyč.
Doporučená literatura
- Paul Davies: „About Time, Einstein´s Unfinished Revolution“ – česky jako „O čase“ (Motýl, 1999)
- Peter Coveney, Roger Highfield: „The arrow of time“ – česky jako „Šíp času“ (Oldag, 1995)
- Jim Al-Khalili: „Black Holes, Wormholes a Time Machines“ – česky jako „Černé díry, červí díry a stroje času“ (Aurora 2003)
- J. Richard Gott III: „Time Travel in Einstein’s Universe: The Physical Possibilities of Travel Through Time“ – česky jako „Cestování časem v Einsteinově vesmíru“ (Argo a Dokořán, 2002)
Zdroje obrázků
- https://umbc.edu/wp-content/uploads/2023/11/time-travel.jpeg
- https://cdn.mos.cms.futurecdn.net/3buDqF4oZrEByNRVBgYwmm-1200-80.jpg
- https://upload.wikimedia.org/wikipedia/commons/c/c7/Max_Planck_1933.jpg
- https://imageio.forbes.com/blogs-images/startswithabang/files/2018/03/arrow.jpg?height=375&width=711&fit=bounds
- https://www.researchgate.net/profile/Richard-Gauthier-2/publication/319622822/figure/fig1/AS:631666926178326@1527612539696/A-Minkowski-spacetime-light-cone-diagram-shows-the-different-causal-regions-corresponding.png
- https://assets.coursehero.com/study-guides/lumen/images/cheminter/entropy-and-free-energy/201408111558292836862.jpeg
- https://archbudgie.wordpress.com/wp-content/uploads/2015/03/reddwarfiii1cheers.jpg
- https://cdn.mos.cms.futurecdn.net/Vp67ebTNFgp5N8GTgdeBDG.jpg
- https://upload.wikimedia.org/wikipedia/commons/thumb/4/4f/Time_dilation.svg/800px-Time_dilation.svg.png
- https://3.bp.blogspot.com/-fjXfEZ_aNhE/VxpU5eM834I/AAAAAAAAAHo/dd4RmvQrG3UFGV4KICRutXghsUTpVZ6pgCLcB/s640/Twin_Paradox.jpg
- http://www.leapsecond.com/museum/HK50/hk4-800.jpg
- https://www.researchgate.net/profile/Samuel-Drake/publication/268684927/figure/fig3/AS:295322237587464@1447421716908/Satellite-clock-drift-relative-to-clocks-on-the-surface-of-Earth-as-a-function-of.png
- https://upload.wikimedia.org/…/1200px-Oleg_Kononenko_in_the_Zvezda_Module.jpg
- https://images-assets.nasa.gov/image/S70-36485/S70-36485~large.jpg?w=1535&h=1920&fit=clip&crop=faces%2Cfocalpoint
- https://c02.purpledshub.com/uploads/sites/41/2024/06/time-travel.jpg?w=1200
- https://images.saymedia-content.com/.image/t_share/MTc0NDY0MDkyOTc3NzY3Nzg0/what-are-tachyons.png
- https://cdna.artstation.com/p/assets/images/images/022/049/442/large/shivam-pardeshi-timemachine-ender.jpg?1573923945
- https://www.quantamagazine.org/wp-content/uploads/2020/09/Cosmic_strings_OPTIMIZED_1600x880_STILL-Lede.jpg
- https://www.symmetrymagazine.org/sites/default/files/styles/2015_hero/public/images/standard/cosmic-strings2_0.jpg?itok=hMwUS27M
- https://upload.wikimedia.org/wikipedia/commons/7/7b/Wormhole-demo.png
- https://cdna.artstation.com/p/assets/images/images/074/426/948/large/wark-wormhole-still.jpg?1712056649
- https://miro.medium.com/v2/resize:fit:1400/1*WcUMfJHDChYqdD2iTGPX8g.jpeg
- https://upload.wikimedia.org/wikipedia/commons/0/0f/DeLorean_Replica_Kovacs_Time_Machine.png
- https://i0.wp.com/media2.spaceref.com/news/2016/ooChicxulub.jpg?resize=740%2C417&ssl=1
- https://mediaproxy.tvtropes.org/width/1200/https://static.tvtropes.org/pmwiki/pub/images/grandpa_8.png
- https://upload.wikimedia.org/wikipedia/commons/thumb/5/5b/Lorenz_attractor_yb.svg/800px-Lorenz_attractor_yb.svg.png
- https://upload.wikimedia.org/wikipedia/commons/c/cf/Joseph_Polchinski.jpg
- https://kiteprint.com/cdn/shop/products/Stephen-Hawking-Time-Travellers-Invitation-Open-Edition-citrine_2048x.jpeg
Z nadšení, že Váš článek vyšel, dávám hned * a to jsem, přiznávám, u světelného kužele. Tedy u opakování.
A možná hloupý dotaz, protože mohu hledat jinde, ale „nepřepínám“: Jak Planck došel k číslu Planckové délky = 10 na -35 metru?
On je spočítal z Planckovy konstanty, gravitační konstanty a rychlosti světla…

V podstatě ano, jen drobná korekce. Tohle zde uvedené je dnešní verze s redukovanou Planckovou konstantou, Planck operoval s běžnou Planckovou konstantou. Ale to je skutečně detail.
asi je velice dobře, že nelze cestovat do minulosti… nejspíš málokdo z nás dokáže domyslet, jak zásadní pro vznik a fungování civilizace má posloupnost: příčina -> následek. Představa fungování světa, ve kterém by bylo možné cestovat do minulosti je, mírně řečeno, velice znepokojivá. Představte si svět, ve kterém probíhají stovky miliard časových paradoxů denně, svět, kde vůbec nic nedává smysl ani logiku, svět, ve kterém se stávají nejrůznější události bez jakékoliv příčiny nebo dokonce s příčinou, která se objeví až po následku, svět přeplněný nejšílenějšími absurditami… Nezbývá mi než věřit jednomu z největších géniů posledních sta let, Stephenu Hawkingovi. Ten tvrdil, že cestování do minulosti není možné, že není možné změnit posloupnost příčina->následek a já doplním jen: naštěstí .)
No, pokud existují tachyony tak je možné změnit příčinu a následek a přesto zachovat svět, jak jej známe. Byť tedy tachyony zřejmě neexistují.
Cestovat časem možná v principu jde, ale je to tak těžké a náročné, že by na to nedosáhly ani supervysvělé civilizace.
A zcela zásadně nesouhlasím s tím, že Hawking byl jedním z největších géniů posledních staletí a to ani pokud bychom mluvili jen o fyzice.
Děkuji Vam za úžasný článek. Chvílemi jsem četl s otevřenou pusou skvělé jste to vysvětlil i lajkovi v oblasti fyziky jako jsem já.. děkuji moc za úžasné čtení a rozšíření obzoru! Přeji Vam hodně úspěchů v osobním I soukromém životě!
Děkuji vám za milá slova.
Pane Škorpík děkuji za opět velmi zajímavý článek který bych za jiných okolností zhltnul jedním dechem tak jako jakýkoliv článek od Vás.Ale abych si z Vašich článku něco odnesl musím mu věnovat veškerou pozornost,bohužel prožívám nelehké životní období a nejsem schopen tomuto velmi zajímavému tématu věnovat plnou pozornost,takovou jakou by si zasloužil.Chtěl bych se zeptat jestli nebude vadit pokud bych mněl někdy v blízkém budoucnu nějaké dotazy, poznámky, nebo komentáře,že bych Vám napsal nějak přes redakční mail?Samozřejmě Vás nechci nějak obtěžovat nebo zdržovat od Vaší práce ale mám bohužel co se týče času pár nápadů nebo postřehů a nemám v mém blízkém okolí nikoho s kým bych to prodiskutoval na trochu vážné úrovni
Děkuji za pochvalu článku. Vaší situace je mi líto. Napsat mi můžete, ale nemohu slíbit, že odpovím a pokud odpovím, tak nemohu slíbit kdy. Také mám dost aktivit a jiných starostí. A samozřejmě i záleží na tom, jak obsáhlé by byly vaše otázky či připomínky a co všechno byste chtěl probrat. Ale jak říkám, napsat mi můžete. V nejhorším případě vám napíšu, že na vás teď nemám čas, což si případně nebrte prosím osobně, ale jsou věci, které holt mají a musí mít přednost.
wau, dakujem za vyborny clanok.
pri casti o zmene casu pri hviezdach ma napadlo, ci vieme realne pozorovat tuto zmenu niekde vo vesmire. podla tej logiky by tazka hviezda alebo cierna diera mala mat vo svojom okoli vyznamne spomaleny cas, cize by sme tie telesa mali vidiet pohybovat sa rychlejsie, ako by sme cakali.
tym padom by ale malo byt aj z dialky vidno, ze odstrediva sila, ktora u nich posobi, je na pohlad mensia, nez by mala byt pri zodpovedajucej rotacii (ak by sa teleso tocilo realne tak rychlo, tak by sa odstredivou silou rozpadlo, ale mozno sa toci normalne, len jeho cas je zrychleny). pozoroval uz niekto nieco taketo? Popripade, je badat zmeny v rychlosti hviezd, ktore obiehaju okolo ciernej diery? ci napr nezrychluju v jej okoli podla dilatacie casu.
Resp moze to byt sposob, ako vysvetlit napr prilis rychlu rotaciu kvazarov? Ze vlastne rotuju normalne, len su omnoho tazsie, tak u nich ide cas rychlejsie.
diki za odpoved/upresnenie.
a tiez za pripomienku skveleho dielu z cerveneho trpaslika.
„NÝDNOL, to znam, to je v bulharsku“ 🙂
„pri casti o zmene casu pri hviezdach ma napadlo, ci vieme realne pozorovat tuto zmenu niekde vo vesmire. podla tej logiky by tazka hviezda alebo cierna diera mala mat vo svojom okoli vyznamne spomaleny cas, cize by sme tie telesa mali vidiet pohybovat sa rychlejsie, ako by sme cakali.“
Dokážeme pozorovat třeba gravitační rudý posuv světla vyzářeného z bilých trpaslíků. Pokud jde ovšem o čas, pak je to co píšete častý mýtus a znak špatného pochopení speciální relativity.
„Popripade, je badat zmeny v rychlosti hviezd, ktore obiehaju okolo ciernej diery?“
Hvězdy v blízkosti černých děr se pozorují poměrně běžně. Nejčastěji v okolí hvězdných černých děr jako je Cygnus X-1, popřípadě v okolí supermaisvní černé díry v centru Mléčné dráhy. Relativistické efekty se tam samozřejmě také zkoumají.
„Resp moze to byt sposob, ako vysvetlit napr prilis rychlu rotaciu kvazarov? Ze vlastne rotuju normalne, len su omnoho tazsie, tak u nich ide cas rychlejsie.“
? Čas u těžkých objektů jde naopak pomaleji.
Současné populární prezentace představují zakřivení časoprostoru jako prohloubený disk. Proč? Přitažlivost je koeficient kapa a parametry těles. Proč je toto zakřivení ploché, když musí být kulové?
Úplně nevím, jak to souvisí s tématem článku, ale budiž.
Zakřivení prostoročasu je samozřejmě v realitě ve 3D, ale jak uděláte 3D při popularizaci? Na to byste potřeboval mít 4 prostorové rozměry, aby se plně postihlo to co potřebujeme a ty nemáme. Proto si popularizátoři pomáhají 2D analogiemi. Nikdo neříká, že to tak skutečně je, je to jen analogie pro to, aby si to lidé představili.
A i dkybyste měl lepší analogii, pořád by to byla jen analogie. Na plné pochopení byste stejně musel ovládat příslušnou matematiku a fyziku.
Dobré zhrnutie našich súčasných poznatkov o cestovanie časom. Osobne však vidím pri cestovaní do minulosti (eventuálne do budúcnosť “klasickým” spôsobom a nie relativistickou rýchlosťou) tieto dva problémy:
1. Akékoľvek cestovanie časom predpokladá, že minulosť aj budúcnosť existujú už v tomto okamihu, aby bolo kam cestovať. Čo aj však neexistuje vôbec nič, len prítomnosť? Čo ak neexistuje časová priamka, iba časový bod, okamih prítomnosti? Na základe Occamovej britvy mi to pripadá pravdepodobnejšie, ako vzorne uložená minulosť pre prípad, že by ju cestovateľ časom potreboval.
2. Keď ste spomínali “niečo z ničoho”, myslela som, že budete písať o zákone zachovania. Prekvapuje ma, prečo sa pri problémoch s cestovaním v čase takmer nikde nespomína, že je to proti zákonu zachovania hmoty a energie. Keď sa zjavíte v minulosti či budúcnosti, z pohľadu tej doby a kontinuálneho plynutia času ste sa zjavili „z ničoho“. Zhmotnili ste sa v mieste, kde žiadna hmota nebola. Vďaka vám má vesmír tej doby viac hmoty. A v dobe, z ktorej ste odišli, je zase vo vesmíre menej hmoty. Lenže to skrátka nie je možné… nie v makroskopických meradlách.
Ako sci-fi autorka som vytvorila dva rozdielne koncepty cestovania časom. Prvý mnou zmienený problém sa rieši v mojom románe Apokalypsa (zatiaľ nevydaný), druhý v mojej románovej dilógii Nula kelvinov (vyšla cez Artis Omnis).
Co to prosím je „klasické cestování časem do budoucnosti“? Buď je to naše žití, což sice je cestování do budoucnosti, ale obvykle se to tak nechápe. A nebo to musí souviset s relativitou a dilatací času a to jsou zcela objektivní jevy, mnohokrát naměřené, ať už v případě dilatace času kinematické a nebo gravitační. Je to tak dobře ověřené, že o tom naprosto odmítám dále diskutovat.
Occamova břitva říká, že nemáme přidávat do teoreie či hypotézy ty části, které nejsou pro vysvětlení nezbytné. Jak souvisí Occamova břitva s tím, co jste psala?
Pod tým „klasickým cestovaním“ som myslela cestovanie známe zo sci-fi, kde cestovateľ nastúpi do zázračnej kabínky a je hneď v budúcnosti, navyše väčšinou s možnosťou spätného návratu. To evokuje dojem, akoby už budúcnosť bola pre nás niekde pripravená, potom je tu ovšem zase tá otázka slobodnej vôle. Ja len tvrdím, že na základe Occamovej britvy takáto budúcnosť (ani minulosť) existovať nemôže, čo predsa nie je v rozpore s vaším tvrdením. Aj pri dilatácii času predsa neskočíme do budúcnosti hneď, ale musíme počkať – hoci z nášho pohľadu krátko – kým sa „budúcnosť“ vytvorí alias stane sa súčasnosťou.
„Pod tým „klasickým cestovaním“ som myslela cestovanie známe zo sci-fi, kde cestovateľ nastúpi do zázračnej kabínky a je hneď v budúcnosti, navyše väčšinou s možnosťou spätného návratu.“
No moment. Já snad někde v článku tvrdím, že toto je možné a že cestování časem takto funguje? Pokud já vím, tak ne. Takže mi trochu připadá, že reagujete na tvrzení, které v článku vůbec nezaznělo a nikdo jen trochu soudný, kdo má jen základní přehled v této problematice, mu něvěří.
Kdyby byl můj článek o sci-fi, pak bych pochopil tuto reakci, ale tady mi přijde, že tato reakce sem vůbec nezapadá.
Samozřejmě, že takto cestování časem nefunguje, to ví každý. Tedy technicky byste si kolem sebe mohla postavit slupku ohmotnosti Jupitera a tím cestovat časem do budoucnosti, ale i na to byste musela vynaložit docela dost práce. Při letu vysokou rychlostí by člověk také musel vynaložit obrovské množství energie.
A ani „realistické“ cestování do minulosti takto nefunguje přece. Jediné aspoň trochu realistické modely s kosmickými strunami vyžadují opět cestování do hlubšího vesmíru, neboť žádnou kosmickou strunu v okolí nemáme, popřípadě červí díru, ale tu bychom si museli vytáhnout z mikrosvěta, a abychom s ní mohli cestovat do minulosti, tak bychom ji museli předem připravit letem blízkých rychlosti světla a pak ji vrátit na původní místo. Takže to není ani zdaleka okamžité cestování ve smyslu nastoupí do Tardis a jsem v době Ramesse II.
Ale tohle všechno v tom článku je. Takže se nezlobte, ale fakt nevím, proč ten komentář přišel. Protože skutečně žádný fyzik, kterého znám si toto, co vy říkáte nemyslí. Čili myšlenky laických představ o cestách časem to rozporuje hezky, ale s reálným výzkumem se to téměř nesetkává.
Ale pokud jste chtěla slyšet, že máte v tomto konkrétním bodě pravdu, tak ano, máte. 🙂
A pořád nechápu, jak s tím souvisí Occamova břitva. Domnívám se, že vůbec nijak.
V článku ale píšete o cestovaní do minulosti. Vzhľadom na nemožnosť obrátenia smeru časovej šípky ma privádza k jedinému záveru a to, že minulosť niekde existuje súbežne so súčasnosťou. Ako inak by bolo možné do nej cestovať (dobre, na zázračnú škatuľku zabudnime a presuňme sa ku kozmickej strune alebo červej diere), keby neexistovala? Podľa Occamovej britvy by však existovať nemala, to je celé.
Môj komentár navyše hovoril aj o zákone zachovania hmoty a energie, čo by bol, okrem kauzálnych problémov, opäť problém pri ceste do minulosti. K tomu ste sa nevyjadrili.
V článku opakovane spomínate predstavy vzniknuté na základe sci-fi diel s témou cestovania v čase, aj keď ich označujete za nepravdepodobné a nemožné. Takže som nemala dôvod predpokladať, že ja v komentároch nesmiem poukazovať na ďalšie nepravdepodobné až nemožné predstavy o cestovaní v čase známe zo sci-fi.
Minulost nemusí existovat souběžně se současností, alespoň ne v pravém smyslu. Pokud bychom odcestovali do minulosti, ale to kam bychom cestovali už by byla jiná dimenze než to, odkud jsme odcestovali, tak to není v rozporu s ničím a tato minulost neexistovala v klasickém smyslu se současností.
A ne, Occamova břitva neříká, že nemůže existovat kosmická struna nebo červí díra. Vlastně naopak. Topologické defekty (kam řadíme i kosmické struny) by naopak podle standardní kosmologie existovat v našem vesmíru měly a jejich nepřítomnost spolehlivě vysvětlila až inflační teorie. Byť i teď jsou nějaké kandidátské objekty na kosmické struny pozorovány, ale to teď nechme stranou.
Červí díry by zase mohly existovat podle kvantové mechaniky. Pokud existuje skutečně kvantová pěna, tak by se tam mohly vyskytovat i červí díra. Navíc jsou hypotézy, že černé díry jsou ve skutečnosti možná červími dírami, jen propojují náš vesmír s vesmírem jiným/jinými vesmíry. K tomu Occamova břitva fakt nic neříká.
Proč bych se vyjadřoval k zákonu zachování? To, že je to problém opět ví každý. A taky existuje mnoho hypotéz, jak se s tím cestování časem vypořádává. U vás mi přišlo, že to prezentujete jako nějakou novinku a jako něco o čem se vůbec nemluví a není na to řešení.
Říkáte, že to nezmiňuji v článku, což nezmiňuji, sama jistě uznáte, že už tak je dost dlouhý, takže se omlouvám, že se nedostalo na všechno.
V článku sice sci-fi zmiňuji, ale myslím, že je jasné, že jak správně píšete, všechny označuji za nerealistické, nemožné nebo v nejlepším případě velmi velmi naivní. A třeba Kontakt od Sagana zmiňuji, ale proto, abych ilustroval, že aspoň trochu realističtější představy vždy vychází od předních fyziků. A Sagan tam červí díru používá jen k cestám prostorem. Cesty časem skrze červí díry mají původ přímo ve fyzice, podobně jako i cesty časem skrze kosmické struny.
Takže mi trochu přijde, že jste začala útočit na slaměného panáka, tedy něco co v textu není a nikdy nebylo tvrzeno. A představy sci.fi samozřejmě můžete zmiňovat, jen říkám, že to s mým článkem a reálným výzkumem prakticky nesouvisí. Lidé mají o cestování časem velmi zkreslené představy, to rozhodně uznávám, ale s nějakou fyzikální realitou se to zcela míjí. A můj článek nebyl o sci-fi, ale o tom, jak je to ve skutečnosti.
Zase sme sa neporozumeli. Netvrdila som, že podľa Occamovej britvy nemôžu existovať kozmické struny či čierne diery, ale že by nemala súbežne so súčasnosťou existovať minulosť a budúcnosť. No nič, nechajme to už tak.
Ja som nemala dojem, že každý vie, že zákon zachovania je pri cestovaní časom problém, aspoň podľa nekriticky prijímaných sci-fi diel o cestovaní časom. A určite to nebude tým, že ich ľudia berú len ako zábavu, ktorá môže postrádať logiku, lebo iné problémy, napríklad paradox starého otca, ktorý rozoberáte aj v článku, diskutujú bežne a neraz s veľkou vážnosťou. Nikdy som sa ale nestretla s tým, aby niekto, či už v rámci sci-fi diskusie alebo v odbornej debate, riešil zákon zachovania pri cestovaní časom. Rada by som si prečítala článok aj na takúto tému, možno ako pokračovanie tohto?
Pripadalo mi, že váš článok je viac prepojený so sci-fi, pretože na jednej strane spomínate reálne príklady cestovania časom (starnutie astronautov), na druhej strane podrobne rozoberáte časové paradoxy pri cestách do minulosti, čo je téma, ktorú na rozličné spôsoby riešia práve autori sci-fi. Na to, že to s reálnymi možnosťami cestovania do minulosti vyzerá tak blede, ste jej venovali skutočne veľa priestoru. A nepostrehla som, že by sa hypotézy riešení časových paradoxov opierali o nejaký výskum (veľmi by som sa divila, keby áno), to už je len sféra filozofie a fantázie.
Súhlasím, že Kontakt od Sagana je na pomery sci-fi realistická kniha. Až na jeho predstavy, ako sa muži správajú k žene-astronómke. 🙂
„Ja som nemala dojem, že každý vie, že zákon zachovania je pri cestovaní časom problém, aspoň podľa nekriticky prijímaných sci-fi diel o cestovaní časom.“
Ano, máte pravdu. To jsem se nevyjádřil přesně. Měl jsem na mysli každého fyzika a každého, kdo se opravdu orientuje v problematice cestování časem. Což je pro mě to zásadní.
„Rada by som si prečítala článok aj na takúto tému, možno ako pokračovanie tohto?“
Můžu někdy v budoucnu napsat článek o zkonech zachování, ale nevím kdy. Bude mi to nějakou dobu určitě trvat.
„Na druhej strane podrobne rozoberáte časové paradoxy pri cestách do minulosti, čo je téma, ktorú na rozličné spôsoby riešia práve autori sci-fi.“
No, tohle je něco, co se právě při vědeckém zkoumání cest v čase poměrně běžně řeší. Viz Polchinského paradox, o kterém je napsáno desítky odborných článků.
„Na to, že to s reálnymi možnosťami cestovania do minulosti vyzerá tak blede, ste jej venovali skutočne veľa priestoru.“
To, kolik čemu věnuji prostoru je snad na mě. Nicméně ano, věnoval jsem tomu dost prostoru právě proto, že se to často řeší a proto, že tyto paradoxy jsou důležité i z hlediska vědy.
„A nepostrehla som, že by sa hypotézy riešení časových paradoxov opierali o nejaký výskum (veľmi by som sa divila, keby áno), to už je len sféra filozofie a fantázie.“
Jen letmým vyhledáváním jsem v databázi našel 26 odborných článků, kde fyzikové řeší paradox dědečka. Pak už mě přestalo bavit další články počítat.
Perfektní, vtipné, chytré! Děkuji
Děkuji moc.